Pozorne si prečítaj zadania otázok. Pri otázke s možnosťou výberu odpovede je správna vždy len jedna možnosť. Pri úlohách, v ktorých nie je možnosť výberu odpovede, vpisuj do bieleho políčka len výsledok, teda číslo ( bez jednotiek, bez symbolov a pod. ) Potom klikni na "Nahraj odpoveď".
Na obrázku je lichobežník PQRS. Bod T leží na základni PQ. Základne majú dĺžky: 12cm, 20cm. Obsah vyfarbeného trojuholníka TRS je 60 cm štvorcových. Vypočítaj obsah lichobežníka PQRS v cm štvorcových.
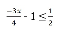
Ktoré najmenšie celé číslo vyhovuje nerovnici
Aký je súčin celých po sebe idúcich čísel väčších ako -4 a menších ako 4 ?
Strany obdĺžnika sú v pomere 5:12. Jeho obvod je 34 cm. Aká dlhá je jeho uhlopriečka v cm?
Prvý brigádnik odpracoval 36 hodín, druhý 40 hodín. Zárobok 1140€ si rozdelili podľa počtu odpracovaných hodín. Aká bola hodnota vyššieho zárobku?
Dopravná značka má vonkajší priemer 60 cm a biely kruh vo vnútri má priemer 48 cm. Koľko % povrchu značky tvorí červený pruh?
64 %
36 %
20 %
25 %
Aký je výškový rozdiel medzi Mount Everestom s nadmorskou výškou 8 848 m a Mariánskou priekopou s nadmorskou výškou - 10 911 m ?
2 063 m
-19 759 m
19 759 m
- 2 063 m
Gazdečkovci majú obdĺžnikovú záhradu dlhú 120 m a širokú 15 m. Ponúkajú ju na predaj v cene 2 000 € za jeden ár. Koľko € stojí záhrada ?
540 000 €
3 600 €
3 600 000 €
36 000 €
Rovnoramenný lichobežník ABCD má vnútorný uhol pri vrchole C veľkosť 130°. Aký je vnútorný uhol pri vrchole A ?
V kvetinárstve mali 24 červených a 16 bielych karafiátov. Koľko kytíc môžu z nich vytvoriť, ak kytice musia byť rovnaké?
12
10
8
6
Graf znázorňuje namerané teploty vzduchu jedného januárového dňa od polnoci do poludnia vo Vrútkach. O koľko stupňov bola najvyššia nameraná teplota vyššia ako priemerná teplota?
Koľko je všetkých 3-ciferných prirodzených čísel, ktorých ciferný súčet je tri ?
Na vybranej vzorke 2500 ľudí sa uskutočnil prieskum, akú majú ľudia farbu očí. Výsledky prieskumu sú znázornené v stĺpcovom diagrame. Zisti, o koľko ľudí má viac hnedé oči ako modré.
Lukáš si šetrí na značkové tenisky. Už má našetrených 75€, čo je 60% ceny tenisiek. Koľko eur stoja tenisky?
Pozemok tvaru obdĺžnika s rozmermi 18m a 32m má rovnakú výmeru ako susedný štvorcový pozemok. Vypočítaj, akú dĺžku má plot okolo štvorcového pozemku.
Obdĺžnikové klzisko s rozmermi 60m a 30m má vrstvu ľadu vysokú 5cm. Koľko litrov vody bolo treba na vytvorenie ľadu?
Koľko dm kubických vosku sa spotrebovalo na výrobu troch sviečok, ktoré sú na obrázku, ak majú tvar pravidelného štvorbokého hranola s hranou podstavy 6cm a výškami 5cm, 12cm a 18cm?
Pokladníčka vybrala za vstup do plavárne za 117 osôb 409,50€. Kapacita plavárne je 190 ľudí. Akú sumu v € vyzbiera, ak bude plaváreň obsadená na 90%?
Pršať začalo o 07:50 h ráno a prestalo o pol desiatej dopoludnia (v ten istý deň). Koľko minút pršalo?
Každý človek by mal za mesiac spotrebovať 7,65kg zeleniny ( okrem zemiakov ). Koľko kg zeleniny by mala spotrevať štvorčlenná rodina za jeden rok?