Pozorne si prečítaj zadania otázok. Pri otázke s možnosťou výberu odpovede je správna vždy len jedna možnosť. Pri úlohách, v ktorých nie je možnosť výberu odpovede, vpisuj do bieleho políčka len výsledok, teda číslo ( bez jednotiek, bez symbolov a pod. ) Potom klikni na "Nahraj odpoveď".
Žiaci majú vyučovanie od 8:00 do 12:30. Medzi vyučovacími hodinami je jedna 15-minútová a tri 10-minútové prestávky. Koľko percent vyučovania tvoria prestávky?
16,7
22,5
6
45
Vypočítajte hodnotu výrazu ( 3a -ab ), ak a = - 5, b = - 0,5
Koľko je dvojciferných prirodzených čísel menších ako 50, ktoré pri delení piatimi dávajú zvyšok 1 ?
V obale je šesť CD so slovenskou a deväť CD so zahraničnou hudbou. Ak si Nina náhodne vyberie jedno CD, aká je pravdepodobnosť, že si vyberie CD so slovenskou hudbou?
0,2
0,6
0,8
0,4
Ktoré z nasledujúcich tvrdení o rovnobežníkoch je NEPRAVDIVÉ ?
Uhlopriečky v každom rovnobežníku sa navzájom rozpoľujú.
Súčet vnútorných uhlov rovnobežníka je 360°.
Každý rovnobežník je štvoruholník.
Každý rovnobežník má zhodné uhlopriečky.
Pán Podnikavý si vložil do banky B na dva roky 10 000 €. Ročná úroková miera bola 10% a úroky sú pripisované raz za rok. Koľko € bude mať na účte p. Podnikavý po uplynutí dvoch rokov?
Pani Elena má na účte 1900 €. Chce bankovým prevodom zaplatiť cestovnej kancelárii za zájazd do Egypta pre dve osoby sumu 2950 €. Bude mať dostatok finančných prostriedkov, ak má povolené prečerpanie 1000 €?
áno, ešte jej aj zostane
nie, chýba jej niekoľko €
nedá sa určiť
áno, nič jej nezostane
Jano, Karol a Martin si rozdelili peniaze z brigády v pomere 2 : 4 : 3. Najviac dostal Karol a to 12,60 €. Jano a Martin dostali spolu:
Na obrázku je obdĺžnik ABCD rozdelený na zhodné štvorce. Koľko percent obsahu obdĺžnika ABCD je vyfarbená?
Ťažisko rovnostranného trojuholníka ABC je od strany trojuholníka vzdialené 3 cm. Koľko cm meria výška trojuholníka ABC ?
Vypočítaj obsah pravidelného šesťuholníka so stranou dlhou 6 cm. Výsledok vyjadri v cm štvorcových, zaokrúhlený na jedno desatinné miesto.
Uhlopriečka štvorca meria 8 cm. Aký je obsah štvorca v centimetroch štvorcových? Výsledok vyjadri celým číslom.
Balík má tvar kvádra. Dva jeho rozmery sú 3 dm, 5 dm. Objem balíka je 60 litrov. Aký je jeho povrch v decimetroch štvorcových?
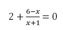
Pre aké číslo x rovnica nemá zmysel:
Zisti, ktoré reálne číslo x je riešením rovnice 2 - 9x = - ( 5x - 2 )
Zo 160 ton železnej rudy sa vyrobí 24 ton železa. Koľko % hmotnosti rudy tvorí odpad ?
Riaditeľstvo jednej ZŠ v Žilinskom kraji zostavilo tabuľku pre potrebu Ministerstva školstva o vekovej štruktúre jej pedagogických zamestnancov. Koľko percent tvoria muži zo všetkých učiteľov? ( zaokrúhli na stotiny )
Obvod kruhu je 9,42 m. Akú veľkosť má jeho priemer ( v metroch )? ( Použi pí = 3,14 )
Jožko hovorí: "Myslím si číslo. Keď k nemu pripočítam 8 a potom výsledok vynásobím 9, dostanem 171." Aké číslo si Jožko myslel?
Vypočítajte a výsledok zapíšte v tvare desatinného čísla: