Pozorne si prečítaj zadania otázok. Pri otázke s možnosťou výberu odpovede je správna vždy len jedna možnosť. Pri úlohách, v ktorých nie je možnosť výberu odpovede, vpisuj do bieleho políčka len výsledok, teda číslo ( bez jednotiek, bez symbolov a pod. ) Potom klikni na "Nahraj odpoveď".
Koľko centimetrov štvorcových má zvýraznený veľký, pravouhlý trojuholník na obrázku?
Na grafe je znázornený záujem žiakov 2.stupňa jednej ZŠ o jednotlivé športy. Vypočítajte, koľko percent chlapcov prejavilo záujem o plávanie? Výsledok zaokrúhlite na desatiny.
2,4
4,5
5,4
3,3
Koľkokrát je číslo 0,4 menšie ako číslo 40,4?
40-krát
100-krát
101-krát
1001-krát
Pán Podnikavý po návrate z trojdňového školenia zistil, že denne minul priemerne 44 €. Prvý deň minul 27 € a druhý deň o 36 € viac ako prvý deň. Koľko € minul posledný deň školenia?
V škole je m učební. V ôsmich učebniach je po 35 stoličiek, v ostatných je po 32 stoličiek. Podľa ktorého z uvedených vzťahov vypočítame celkový počet stoličiek v škole?
35 . 8 + m . 32
( m - 8 ) . 35 + 32
35 . m + 8 . 32
8 . 35 + ( m - 8 ) . 32
Na číselnej osi sú vyznačené štyri body: P, A, S, B. Bod A je obrazom čísla 3, bod B je obrazom čísla 11, bod S je stredom úsečky AB, bod P je obrazom čísla 0. Ak má úsečka AB dĺžku 12 cm, akú dĺžku má úsečka PS ?
9 cm
7 cm
10,5 cm
5,5 cm
V marci 2011 mala Slovenská republika po zaokrúhlení 5,44 milióna obyvateľov. Ktoré z nasledujúcich údajov vyjadruje presný počet obyvateľov Slovenska?
5 433 126
5 437 126
5 449 876
5 429 432
160 kg kvásku na kysnutý koláč obsahuje mlieko, droždie, cukor a múku v pomere 20 : 4 : 1 : 15. Koľko kg múky obsahuje kvások ?
Obchodník získal predajom 360 €, čo bolo 18 % z ceny tovaru. Za akú cenu v € tovar predal?
Urč neznáme číslo, ktoré ak zmenšíme dvakrát, tak sa zmenší o dve.
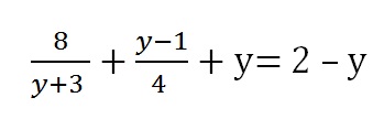
Pre ktoré jediné y nemá rovnica riešenie:
Koľko litrov vody je v bazéne tvaru kvádra s rozmermi a = 3,6 m, b = 1,9 m a hĺbka je 1,5 m, ak je naplnený len do troch štvrtín svojho objemu?
Plazmový televízor stál pred Vianocami 738 eur. Po skončení vianočných sviatkov došlo k výpredaju a jeho cena sa znížila o 12 %. Koľko stál plazmový televízor po zlacnení?
Skutočná šírka miestnosti je 66 dm, na pláne je šírka 4,4 cm. V akej mierke je vyrobený plán?
Na festival pozvali organizátori štyroch spevákov. Koľko možností majú usporiadatelia, v akom poradí budú vystupovať speváci?
Vypočítaj veľkosť uhla alfa v trojuholníku na obrázku:
Podiel čísel 1,2 a 0,3 zväčši o ich rozdiel.
Koľko riešení má nerovnica v množine prirodzených čísel:
Koľko hodín sú dve tretiny z dňa?
Robotníci vykopali 50 m dlhý žľab pre potrubie. Žľab má tvar 3-bokého hranola, ktorého podstavu ( kolmá na zem ) tvorí rovnoramenný trojuholník so základňou 120 cm a ramenami dlhými 100 cm. Koľko metrov kubických zeminy bolo treba odviesť pri vykopaní tohto žľabu?